Khấu hao tài sản cố định là một phần quan trọng trong hoạt động kế toán của doanh nghiệp. Phương pháp đường thẳng được ưa chuộng nhờ tính đơn giản và dễ áp dụng. Bài viết này sẽ hướng dẫn chi tiết cách tính khấu hao tài sản cố định theo phương pháp đường thẳng theo Thông tư 45/2013/TT-BTC.
Nguyên Tắc Khấu Hao Đường Thẳng
Phương pháp khấu hao đường thẳng phân bổ đều chi phí khấu hao tài sản cố định vào chi phí sản xuất kinh doanh hàng năm. Doanh nghiệp có hiệu quả kinh tế cao được phép khấu hao nhanh, tối đa gấp đôi mức khấu hao đường thẳng tiêu chuẩn, nhằm mục đích đổi mới công nghệ. Điều này áp dụng cho máy móc, thiết bị, dụng cụ đo lường, phương tiện vận tải, v.v. Tuy nhiên, phần khấu hao vượt quá gấp đôi mức quy định không được tính vào chi phí hợp lý khi tính thuế thu nhập.
Nội Dung Phương Pháp Khấu Hao Đường Thẳng
Việc trích khấu hao tài sản cố định theo phương pháp đường thẳng được thực hiện như sau:
- Xác định mức khấu hao trung bình hàng năm:
Công thức tính khấu hao đường thẳng
- Mức khấu hao hàng tháng: Lấy mức khấu hao năm chia cho 12.
Điều Chỉnh Khấu Hao Khi Thay Đổi Nguyên Giá Hoặc Thời Gian Sử Dụng
Khi thời gian trích khấu hao hoặc nguyên giá tài sản cố định thay đổi, doanh nghiệp cần tính lại mức khấu hao trung bình:
Công thức tính khấu hao khi thay đổi nguyên giá hoặc thời gian sử dụng
Kỹ năng Excel rất quan trọng trong công việc kế toán. Nâng cao kỹ năng Excel của bạn với các khóa học sau:
Khóa học Excel
Khóa học VBA
Khấu Hao Năm Cuối Cùng
Mức khấu hao năm cuối cùng được tính bằng hiệu số giữa nguyên giá tài sản cố định và tổng khấu hao lũy kế đến năm trước đó.
Công thức tính khấu hao năm cuối cùng
Ví Dụ Minh Họa
Công ty A mua một tài sản cố định mới 100% với giá 119 triệu đồng, chiết khấu 5 triệu đồng, vận chuyển 3 triệu đồng, lắp đặt 3 triệu đồng.
a. Trường hợp 1: Tuổi thọ kỹ thuật 12 năm, thời gian khấu hao dự kiến 10 năm (theo Phụ lục 1 Thông tư 45/2013/TT-BTC), bắt đầu sử dụng từ 01/01/2013.
- Nguyên giá: 119 – 5 + 3 + 3 = 120 triệu đồng
- Khấu hao năm: 120 triệu / 10 năm = 12 triệu đồng/năm
- Khấu hao tháng: 12 triệu / 12 tháng = 1 triệu đồng/tháng
b. Trường hợp 2: Sau 5 năm, công ty nâng cấp tài sản với chi phí 30 triệu đồng, thời gian sử dụng còn lại 6 năm, bắt đầu từ 01/01/2018.
- Nguyên giá mới: 120 + 30 = 150 triệu đồng
- Khấu hao lũy kế: 12 triệu * 5 năm = 60 triệu đồng
- Giá trị còn lại: 150 – 60 = 90 triệu đồng
- Khấu hao năm: 90 triệu / 6 năm = 15 triệu đồng/năm
- Khấu hao tháng: 15 triệu / 12 tháng = 1.25 triệu đồng/tháng
Tài Sản Cố Định Đưa Vào Sử Dụng Trước 01/01/2013
a. Cách Xác Định Mức Khấu Hao:
- Xác định giá trị còn lại trên sổ kế toán.
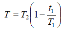
- Xác định thời gian khấu hao còn lại:
Công thức tính thời gian khấu hao còn lại
Trong đó:
T: Thời gian khấu hao còn lại
T1: Thời gian khấu hao ban đầu (theo Phụ lục 1 Thông tư 45/2013/TT-BTC)
T2: Thời gian khấu hao đánh giá lại (theo Phụ lục 1 Thông tư 45/2013/TT-BTC)
t1: Thời gian đã khấu hao
Xác định mức khấu hao năm:
Công thức tính mức khấu hao năm
- Mức khấu hao tháng: Lấy mức khấu hao năm chia cho 12.
b. Ví Dụ:
Máy khai khoáng nguyên giá 600 triệu đồng, sử dụng từ 01/01/2011. Thời gian sử dụng theo Thông tư 203/2009/TT-BTC là 10 năm. Đến 31/12/2012 đã sử dụng 2 năm, khấu hao lũy kế 120 triệu đồng.
- Giá trị còn lại: 600 – 120 = 480 triệu đồng
- Thời gian khấu hao theo Thông tư 45/2013/TT-BTC: 15 năm
- Thời gian khấu hao còn lại:
Ví dụ tính thời gian khấu hao còn lại
- Khấu hao năm: 480 triệu / 12 năm = 40 triệu đồng/năm
- Khấu hao tháng: 40 triệu / 12 tháng = 3.333 triệu đồng/tháng
Kết Luận
Phương pháp khấu hao đường thẳng là một phương pháp đơn giản và phổ biến. Hiểu rõ nguyên tắc và cách tính sẽ giúp doanh nghiệp thực hiện khấu hao tài sản cố định chính xác và hiệu quả. Hãy tham khảo thêm các quy định hiện hành để áp dụng đúng trong thực tế.











Discussion about this post